Ferreirolo ®   23-Aug-2020 20:05

Cargo Record Book (For Ships Carrying Noxious Liquid Substances in Bulk)


Year: 20??
Language: english
Author: Novomar Assessoria Empresarial Ltda
Genre: Documentation
Publisher: Novomar Assessoria Empresarial Ltda
Format: PDF
Quality: eBook
Pages count: 52
Description: This is the Cargo Record Book in compliance with Regulations in force, complete with enclosed instructions. The Book has been designed so that it may be used by all ships carrying noxious liquid substances (NLS) in bulk or any mixture containing such substance for making entries regarding cargo and ballast operations.
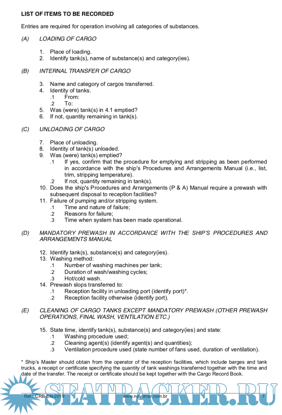
The Book shall be completed on a tank to tank basis whenever a ship loads, internally transfers, or unloads NLS in bulk or any mixture containing such substance; whenever a ship cleans or ballasts the NLS cargo tanks; whenever a ship discharges ballast from the NLS cargo tanks or disposes of NLS residue or any mixture containing such substance to a reception facility; whenever a ship discharges any NLS or any mixture containing such substance, whether intentional or accidental into the water; and whenever a ship removes by ventilation NLS residues.

Contents

Instructions
Identification of Ship's Tanks
Record of Operations

Screenshots

cargo_record_book.pdf

Download [673 B]

Thank U
Reply
refresh list

Similar releases

Oil record Book, part I and II (with examples) - Novomar Assesoria Empresarial Ltda [20??, PDF]
Documentation control checklist - Novomar Assesoria Empresarial Ltda [20??, PDF]
Model Ballast Water Record Book - Lloyd's Register [2024, PDF, DOCx]
Ballast Water Record Book RML-124 Rev. 2025 - Liberian Registry (LISCR) [2025, PDF]
MARPOL 73/78 Practical Guide - TOCPRO [2015, PDF]
Ballast Water Record Book RML-124 Rev. 2024 - LISCR [2024, PDF]
List of Certificates and Documents Required to be Carried on Board ships - IMO [2017, PDF]
Tank Cleaning Guide (Verwey) 9th (2015) Edition - Dr.Verways [2015, JPEG]
Ballast Water Management Record Book requirements - DBS [2022, PDF]
A Really Handy Guide to Ship Certification Part 4: Keeping the Seas Clean - John Manley [2017, EPUB]
LOAD MORE
  • Reply

The time now is: Today 07:19

All times are GMT + 3 Hours