gillnumil ®   30-Jul-2025 11:16

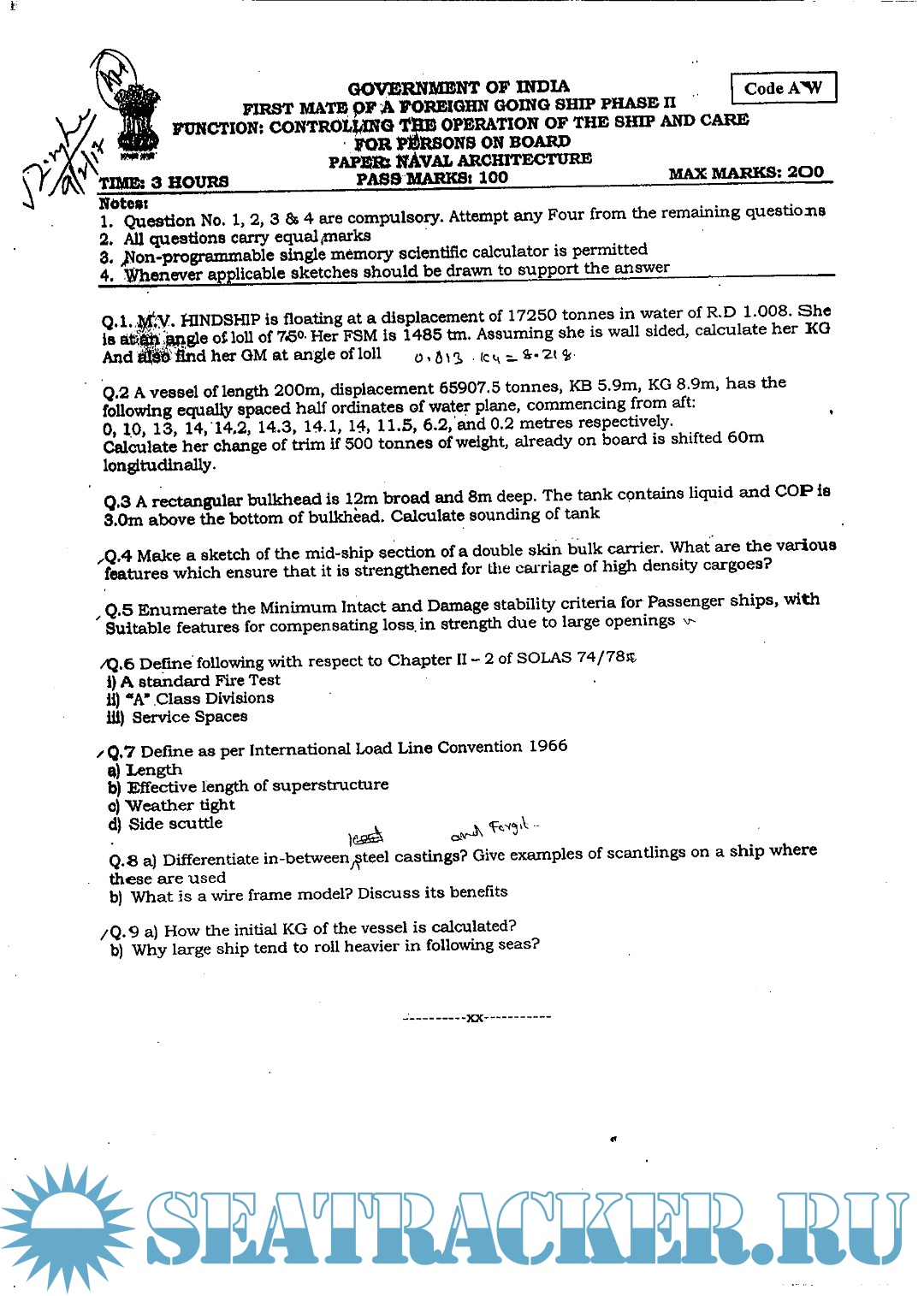
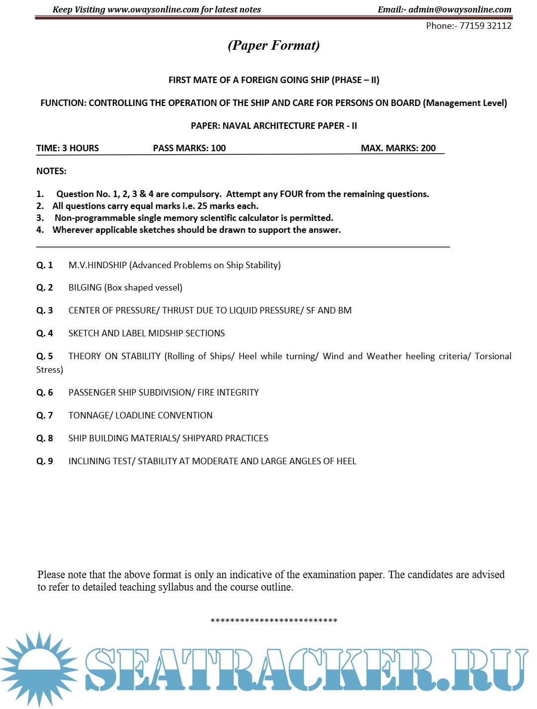
Question Paper Set Naval Architecture II (May 2025) Phase II (Chief Mate F.G.) Mercantile Marine Department (MMD), India Examinations


Year: 2025
Language: English
Author: D.G. Shipping, India
Format: PDF
Quality: Scanned pages
Pages count: 70
Description: Question paper set for Naval Architecture II Mercantile Marine Department (MMD), India Exams for Phase II - Chief Mate (F.G.).

Contents

QP set till 2025

Screenshots

phase_2_naval_architecture_2_question_papers_.pdf

Download [14 KB]

Thank U
Reply
refresh list

Similar releases

Question Paper Set Naval Architecture I (July 2025) Phase I (Chief Mate F.G.) Mercantile Marine…
Question Paper Set for Naval Architecture I (July 2022) for Phase I (Chief Mate F.G.) Mercantile…
Question Paper Set for Naval Architecture I (August 2022) for Phase I (Chief Mate F.G.) Mercantile…
Question Paper Set for Naval Architecture II (July 2022) Phase II (Chief Mate F.G.) Mercantile…
Question Paper Set (udpated Jan 2026) Phase I (Chief Mate F.G.) Mercantile Marine Department (MMD),…
Question Paper Set (May 2023) Phase II (Chief Mate F.G.) Mercantile Marine Department (MMD), India…
Question Paper Set for Maritime Legislation (November) Phase II (Chief Mate F.G.) Mercantile Marine…
Question Paper Set (November 2023) Phase II (Chief Mate F.G.) Mercantile Marine Department (MMD),…
Question Paper Set Safety (July 2025) Phase I (Chief Mate F.G.) Mercantile Marine Department (MMD),…
Question Paper Set Meteorology (July 2025) Phase I (Chief Mate F.G.) Mercantile Marine Department…
LOAD MORE
  • Reply

The time now is: Today 23:20

All times are GMT + 3 Hours