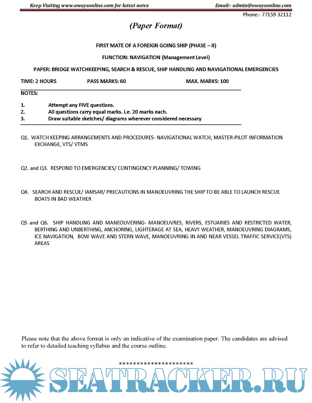
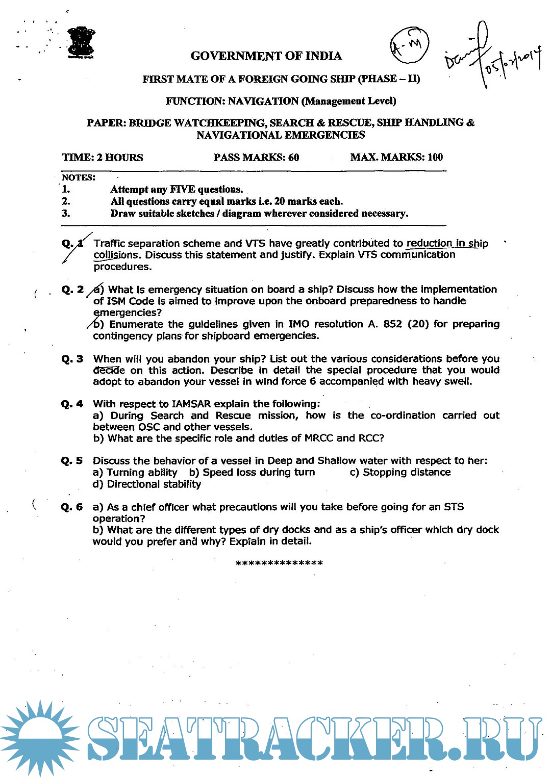
Question Paper Set (May 2023) Phase II (Chief Mate F.G.) Mercantile Marine Department (MMD), India Examinations
Year: 2023 Language: english Author: D.G. Shipping, India Publisher: Oways Online Format: PDF Quality: eBook Pages count: 290 Description: Question paper set for Mercantile Marine Department (MMD), India Exams for Phase II - Chief Mate (F.G.). Additional info: Updated till May 2023.
Most of the users do not even care to keep seeding files, surprisingly even the users who after complaining about it on the forum that they are unable to download due to less seeders. To avoid freeloaders who just hog the bandwidth and do not contribute back to the tracker in any way the Reputation limit acts as a barrier. The ones who really want it will follow the few points mentioned below by skipper and earn reputation enabling them to access all files forever on the tracker. Hopefully, in the process they understand what it takes to keep such projects alive and help / contribute to sustain it. Finally, the reputation limit is the individual releasers choice to enforce. The tracker does not force it in any rule.
skipper3362, I totally agree with you but I am not aware of the forum much. And obviously individual only comes when they are in need of it. It's totally choice of the uploaded to make it private, do let us know in detail how we can support the uploaded of content. Cheers
sugarspicesatya, I am well aware of the seeder thing. But anything which I require it's already has been uploaded from your or some other account. If you want to do duplicate upload, I don't mind. Please let me know in case there is some other way to support this form. Regards
Sorry, duplicates are not allowed unless they are posted better quality. e.g. ebook instead of an existing scan copy. Any maritime related stuff can be posted. We even have separate sections for English / Other language books / Magazines / Videos etc. Dosen't matter if its free or available else where. Or you can just choose to seed a lot of torrents if you have the resources and build up on your ratio.
You cannot post new topics in this forum You cannot reply to topics in this forum You cannot edit your posts in this forum You cannot delete your posts in this forum You cannot vote in polls in this forum You cannot attach files in this forum You cannot download files in this forum
Question Paper Set (May 2023) Phase II (Chief Mate F.G.) Mercantile Marine Department (MMD), India Examinations
Language: english
Author: D.G. Shipping, India
Publisher: Oways Online
Format: PDF
Quality: eBook
Pages count: 290
Description: Question paper set for Mercantile Marine Department (MMD), India Exams for Phase II - Chief Mate (F.G.).
Additional info: Updated till May 2023.
Contents
N/AScreenshots
Notice from: gillnumil [translate]
https://seatracker.info/viewtop...hp?p=96091#96091
Hidden
Download [16 KB]
Share
Comment from: gillnumil [translate]
Most of the users do not even care to keep seeding files, surprisingly even the users who after complaining about it on the forum that they are unable to download due to less seeders.
To avoid freeloaders who just hog the bandwidth and do not contribute back to the tracker in any way the Reputation limit acts as a barrier.
The ones who really want it will follow the few points mentioned below by skipper and earn reputation enabling them to access all files forever on the tracker.
Hopefully, in the process they understand what it takes to keep such projects alive and help / contribute to sustain it.
Finally, the reputation limit is the individual releasers choice to enforce. The tracker does not force it in any rule.
Share
Share
Comment from: gillnumil [translate]
Your reputation will not growing up if you are even registered here for a long time.
1) The fastest way to access all files is VIP membership.
2) The easiest way to earn reputation is to share with other users any book, which is not exist on the tracker, with a nautical theme, and which is really needed. Reputation grows up - right before your eyes! Then you can access files with Reputation limit.
https://seatracker.info/guides.php
https://seatracker.info/viewtopic.php?t=21706
https://seatracker.info/viewtopic.php?t=43
VIP membership:
https://seatracker.info/vip.php
Share
Please let me know in case there is some other way to support this form.
Regards
Comment from: gillnumil [translate]
Sorry, duplicates are not allowed unless they are posted better quality. e.g. ebook instead of an existing scan copy.
Any maritime related stuff can be posted.
We even have separate sections for English / Other language books / Magazines / Videos etc.
Dosen't matter if its free or available else where.
Or
you can just choose to seed a lot of torrents if you have the resources and build up on your ratio.
Share