gillnumil ®   11-Nov-2021 16:02

Second Mates FG Course - Cargo Handling and Stowage Questions and Answer


Year: 2015
Language: english
Author: Anglo Eastern Maritime Training Centre
Publisher: AEMTC
Format: PDF
Quality: Scanned pages
Pages count: 221
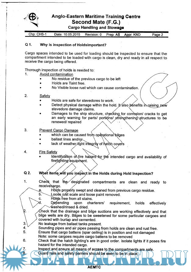
Description: Second Mates FG Course Booklet containing Questions and Answer on Cargo Handling and Stowage.

Contents

Screenshots

Cargo Work Anglo - Question & Answers.pdf

Download [19 KB]

Thank U
Reply
refresh list

Similar releases

Second Mates FG Course Handout: Cargo Handling and Stowage Questions and Answers - AEMTC [2018, PDF]
Second Mates FG Course Handout: Meteorology Reference Material - AEMTC [2017, PDF]
Bridge Equipment and Watchkeeping Reference Material - Anglo Eastern Maritime Training Centre…
Ship Construction Reference Material - Anglo Eastern Maritime Training Centre [2020, PDF]
Large Vessel Ship Handling Simulator Course - AEMTC [2004, PDF]
LPG Liquid Cargo Handling Simulator Course Handout - A 3 Day Course For Officers - AEMTC [2017, PDF]
Specialised Training Programme for Gas Engineers - AEMTC [2017, PDF]
HAZMAT Training - AEMTC [2005, PPT]
Basic Training for Polar Waters (A Five Days Course for Deck Officers) - AEMTC [2022, PDF]
Officer in Charge of a Navigational Watch (Model Course 7.03) - IMO [2014, PDF]
LOAD MORE
  • Reply

The time now is: Today 20:14

All times are GMT + 3 Hours