Year: 2020 Language: english Author: IACS Genre: Convention (rules) Format: PDF Quality: eBook Pages count: Multiple Description: "2020 Blue Book" contains the latest adopted IACS publications as on 1 January 2020 as well as previous revisions of IACS publications and historical data. The Blue Book is updated and published once a year only, next Blue Book will be issued in January 2021. Blue Book ZIP file: Please note, once the file is downloaded to desktop or laptop, there is no need for internet connection as all files will reside on the local disk and there will not be a need for downloading any further files until the next revision (circa a year's time). To view the Portable Document Format (PDF) files you must have Adobe Acrobat Reader or Exchange installed on your system. If not already installed on your system, please install the Adobe Acrobat Reader software from the Adobe website (www.adobe.com) or App Store/Marketplace etc. After installing Adobe Acrobat Reader, open the file entitled "Welcome.pdf" to begin to view the IACS Blue Books. Then follow the links as required. Search Functionality: Perform "Search" command using the index The Blue Book has been indexed as follows: Complete indexing : This is to help the users find a word throughout the Blue Book. If you want to search the documents containing a specific word in all IACS Resolutions, please use the index named "search.pdx". You may be asked to choose where you would like to search. Select "In the index named search.pdx". Additional info: Users may find there are two sections in the Blue Book, i.e., IACS Resolutions and Quality Documents. Double-click on the underlined text will guide you the location you wish to visit IACS RESOLUTIONS & QUALITY DOCUMENTS
You cannot post new topics in this forum You cannot reply to topics in this forum You cannot edit your posts in this forum You cannot delete your posts in this forum You cannot vote in polls in this forum You cannot attach files in this forum You cannot download files in this forum
IACS Blue Book
Language: english
Author: IACS
Genre: Convention (rules)
Format: PDF
Quality: eBook
Pages count: Multiple
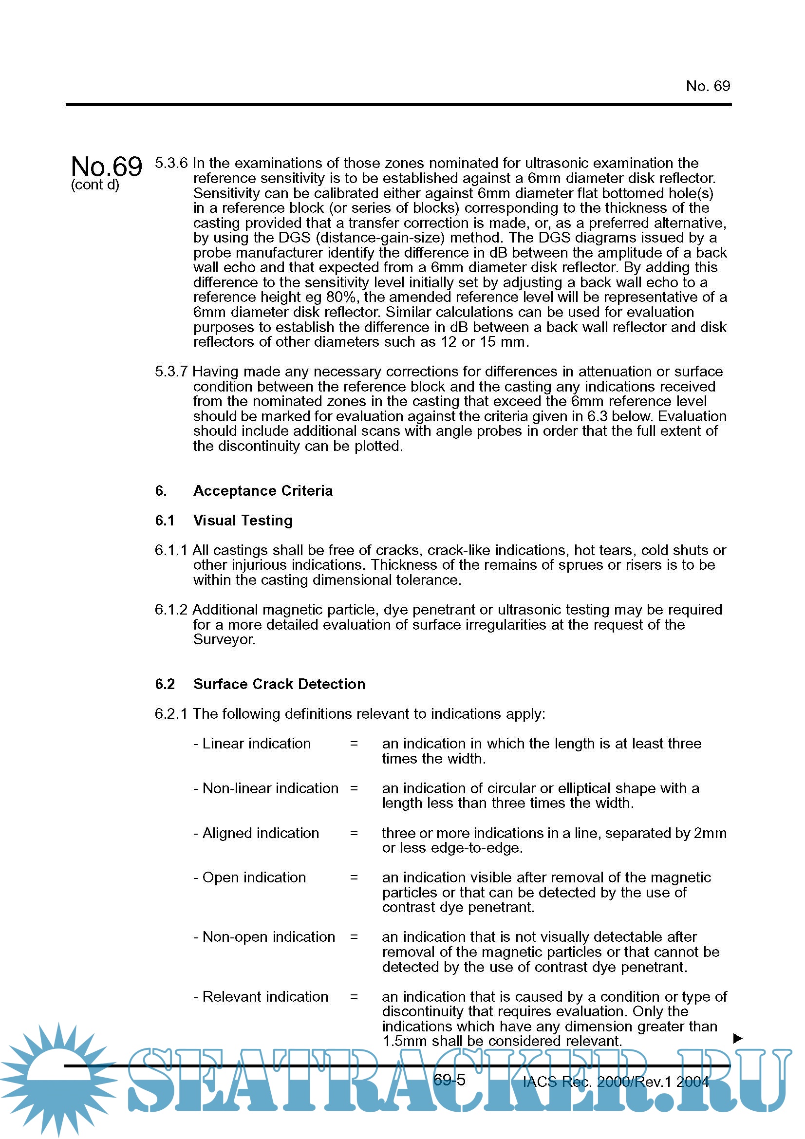
Description: "2020 Blue Book" contains the latest adopted IACS publications as on 1 January 2020 as well as previous revisions of IACS publications and historical data. The Blue Book is updated and published once a year only, next Blue Book will be issued in January 2021.
Blue Book ZIP file: Please note, once the file is downloaded to desktop or laptop, there is no need for internet connection as all files will reside on the local disk and there will not be a need for downloading any further files until the next revision (circa a year's time).
To view the Portable Document Format (PDF) files you must have Adobe Acrobat Reader or Exchange installed on your system. If not already installed on your system, please install the Adobe Acrobat Reader software from the Adobe website (www.adobe.com) or App Store/Marketplace etc.
After installing Adobe Acrobat Reader, open the file entitled "Welcome.pdf" to begin to view the IACS Blue Books. Then follow the links as required.
Search Functionality: Perform "Search" command using the index
The Blue Book has been indexed as follows:
Complete indexing : This is to help the users find a word throughout the Blue Book. If you want to search the documents containing a specific word in all IACS Resolutions, please use the index named "search.pdx".
You may be asked to choose where you would like to search. Select "In the index named search.pdx".
Additional info: Users may find there are two sections in the Blue Book, i.e., IACS Resolutions and Quality Documents. Double-click on the underlined text will guide you the location you wish to visit IACS RESOLUTIONS & QUALITY DOCUMENTS
Contents
Screenshots
Notice from: virtual [translate]
New Edition here
https://seatracker.info/viewtop...hp?p=74422#74422
2020-01-Blue-Book.zip
Download [13 KB]
Share