NWEA Guidelines for the Safe Management of Offshore Supply and Rig Move Operations
Year: 2009 Language: english Author: Working Group On NWEA (North West European Area) Genre: Guide Publisher: Working Group On NWEA (North West European Area) Format: PDF Quality: eBook Pages count: 160 Description: The objectives of those Guidelines are: 1. To ensure and improve the safety of Supply and Rig moving operations in the North West European Area (NWEA). 2. To provide guidance on eliminating or reducing hazards or risks during Supply and Rig moving operations. These Guidelines incorporate best practice and procedures from North Sea operating companies, logistics companies, ship owners, shippers and lessons from the appropriate safety forums. They do not supersede flag and other legal requirements. They apply to all those involved in interaction between offshore installations, bases and offshore support vessels related to offshore operations in the NWEA. Additional info: New version 2
Contents
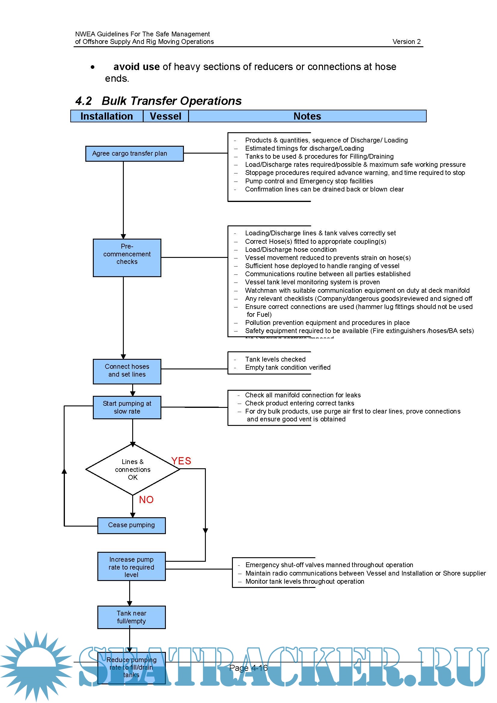
Screenshots
4.9
NWEA Guidelines for the Safe Management of Offshore Supply and Rig Move Operations [2009].pdf
You cannot post new topics in this forum You cannot reply to topics in this forum You cannot edit your posts in this forum You cannot delete your posts in this forum You cannot vote in polls in this forum You cannot attach files in this forum You cannot download files in this forum
NWEA Guidelines for the Safe Management of Offshore Supply and Rig Move Operations
Language: english
Author: Working Group On NWEA (North West European Area)
Genre: Guide
Publisher: Working Group On NWEA (North West European Area)
Format: PDF
Quality: eBook
Pages count: 160
Description: The objectives of those Guidelines are:
1. To ensure and improve the safety of Supply and Rig moving operations in the North West European Area (NWEA).
2. To provide guidance on eliminating or reducing hazards or risks during Supply and Rig moving operations.
These Guidelines incorporate best practice and procedures from North Sea operating companies, logistics companies, ship owners, shippers and lessons from the appropriate safety forums. They do not supersede flag and other legal requirements.
They apply to all those involved in interaction between offshore installations, bases and offshore support vessels related to offshore operations in the NWEA.
Additional info: New version 2
Contents
Screenshots
NWEA Guidelines for the Safe Management of Offshore Supply and Rig Move Operations [2009].pdf
Download [10 KB]
Share